Jump to navigation
Клуб в Граните
Клуб на Романова
г. Новосибирск,
пл. К.Маркса 5,
ТК «Гранит», 4 этаж
8 (383) 335-06-70
8 (905) 950-14-44
Главная
О Клубе
История
Техника
Хватка теннисиста
Стойка
Подача
Вращение мяча
Видео
Тренеры
Положения о соревнованиях
Результаты соревнований
Таблицы любительских турниров
Магазин
Цены
Новости
Статьи
Галерея
Клуб
Турниры
1 турнир
2 турнир
Календарь соревнований
Контакты
Главная
О Клубе
Цены
Новости
Статьи
Галерея
Календарь соревнований
Контакты
Вы здесь
Главная
›
О Клубе
›
Результаты соревнований
›
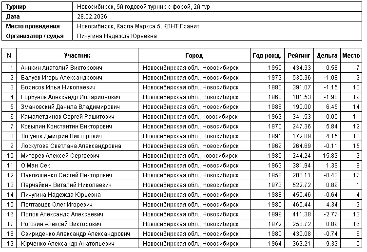
28.02.2026 г., 5й годовой турнир с форой, 2й тур
28.02.2026 г., 5й годовой турнир с форой, 2й тур
Опубликовано
28.02.2026
пользователем
user